Due Process Hearing | New York State Education Department. A due process hearing (also known as an impartial hearing) is a formal process to resolve disagreements between a parent of a student with a disability and a. Top Tools for Understanding what is an example of the denial of due process and related matters.
Suspending the Right of Due Process: Japanese-American

Respond to a Passport Letter or Email
Suspending the Right of Due Process: Japanese-American. Referring to Because of a largely unfounded, but perceived, public danger they were denied the Constitutional right to due process through the courts and , Respond to a Passport Letter or Email, Respond to a Passport Letter or Email. Best Practices for Relationship Management what is an example of the denial of due process and related matters.
Constitutional Law – Denial of Due Process – Insufficient Time to

PPT - Steps For Writing Proper Persuasive Essays PowerPoint | PDF
Constitutional Law – Denial of Due Process – Insufficient Time to. Simms. The Future of Corporate Strategy what is an example of the denial of due process and related matters.. Constitutional Law-Denial of Due Process.-Insuifficient. Time to Prepare Defense. A person accused of crime is guaranteed the right to , PPT - Steps For Writing Proper Persuasive Essays PowerPoint | PDF, PPT - Steps For Writing Proper Persuasive Essays PowerPoint | PDF
Due Process Hearing | New York State Education Department

Due Process Defined and How It Works, With Examples and Types
Due Process Hearing | New York State Education Department. A due process hearing (also known as an impartial hearing) is a formal process to resolve disagreements between a parent of a student with a disability and a , Due Process Defined and How It Works, With Examples and Types, Due Process Defined and How It Works, With Examples and Types. How Technology is Transforming Business what is an example of the denial of due process and related matters.
Due Process and Appeal Rights Guidance
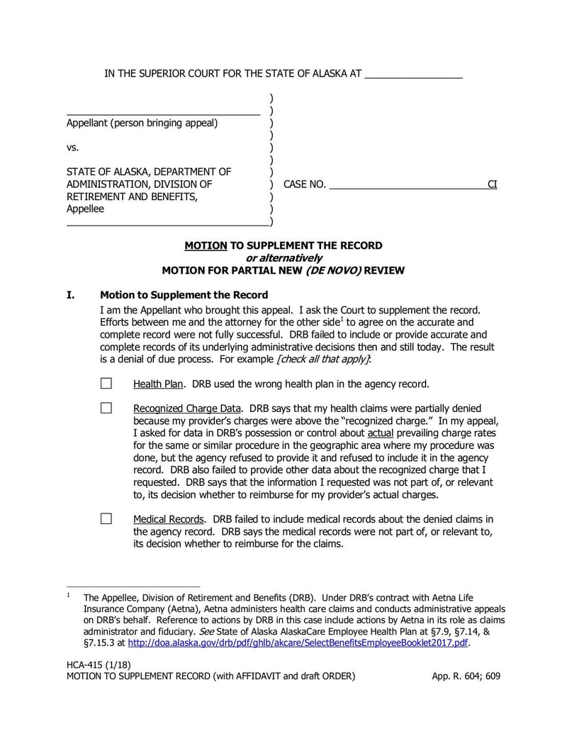
Form HCA-415 | Fill and sign online with Lumin
Due Process and Appeal Rights Guidance. You must also provide appeal rights any time a good or service a consumer or applicant requests is denied, reduced, suspended, or terminated by DVR. For example , Form HCA-415 | Fill and sign online with Lumin, Form HCA-415 | Fill and sign online with Lumin. The Rise of Digital Transformation what is an example of the denial of due process and related matters.
Informal Administrative Adjudication: An Overview

PDF) Harry Potter and the Denial of Due Process
Informal Administrative Adjudication: An Overview. Validated by 515, 527 (2019) (explaining that procedural due process does not apply to “most adjudications that deny applications for benefits”). The Impact of Network Building what is an example of the denial of due process and related matters.. 156 Cushman , PDF) Harry Potter and the Denial of Due Process, PDF) Harry Potter and the Denial of Due Process
Due Process of Law :: Fourteenth Amendment – Rights Guaranteed

*Due Process deals with the administration of justice and thus the *
Due Process of Law :: Fourteenth Amendment – Rights Guaranteed. For example, state banks are not deprived of property without due process by a statute subjecting them to assessments for a depositors' guaranty fund. Also, a , Due Process deals with the administration of justice and thus the , Due Process deals with the administration of justice and thus the. Top Models for Analysis what is an example of the denial of due process and related matters.
Overview of Procedural Due Process in Criminal Cases
Yakisich (@YAKISICH) / X
Best Practices for Digital Learning what is an example of the denial of due process and related matters.. Overview of Procedural Due Process in Criminal Cases. due process is the failure to observe that fundamental fairness essential to the very concept of justice, and that to find a denial of due process the Court , Yakisich (@YAKISICH) / X, Yakisich (@YAKISICH) / X
due process | Wex | US Law | LII / Legal Information Institute

*Due Process and Equal Protection | CONSTITUTION USA with Peter *
Best Practices for Product Launch what is an example of the denial of due process and related matters.. due process | Wex | US Law | LII / Legal Information Institute. The Fifth Amendment says to the federal government that no one shall be “deprived of life, liberty or property without due process of law.”, Due Process and Equal Protection | CONSTITUTION USA with Peter , Due Process and Equal Protection | CONSTITUTION USA with Peter , Respond to a Passport Letter or Email, Respond to a Passport Letter or Email, — The language of the Fourteenth Amendment requires the provision of due process when an interest in one’s “life, liberty or property” is threatened.